A friend asked me some inflation questions recently: questions of the sort — what’s the probability of CPI being x given y.
I told him — I haven’t a clue exactly what you’re asking, but if you write it down formally I can test any hypothesis.
To that end, I was playing with the data tonight — looking at CPI outcomes, and also if there was anything sensible that we could say about CPI given other data.
The first thing I did was to have a look at the QoQ changes in core CPI (I use the average of the weighted median and trimmed mean) — to see if Q1’11 was an outlier. It sure was a tail event (rising 0.475ppts), but it doesn’t look like an outlier…
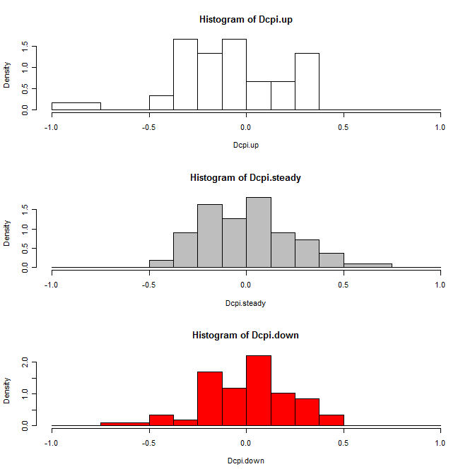
This surprised me, as a few folks I respect think that it was an outlier. So I thought – let’s split the sample … I split it into three parts:
1/ Dcpi.up = where the average of the unemployment rate in the most recent six months is greater than 25bps higher than it was in the prior six months;
2/ Dcpi.steady = where the average of the unemployment rate in the most recent six months is within a 50bps range (+/- 25bps) of the average in the prior six months; and
3/ Dcpi.down = where the average of the unemployment rate in the most recent six months is greater than 25bps lower than it was in the prior six months …
Q1 had a ‘steady’ unemployment rate, and as such, the high Q1 print was within normal bounds.
What I find more interesting about these results, however, is the asymmetry in the distributions. You really can only count on declines in the pace of inflation if the unemployment rate is rising.
Other than that, inflation tends to accelerate. So unless your forecast is that the unemployment rate will rise from here, it seems fairly sure that the pace of inflation will accelerate and that at some point the RBA will tighten.
With recently softer data, perhaps that point won’t be reached in August – however I would be surprised if inflation slowed enough to take further tightening off the table.
That would require an up-trend in the unemployment rate, and I find that unlikely.
My money is now on November – as I think that the damage already done by Greece (it’s mucked up intermediation by disrupting corporate issuance markets) means that Q3 global won’t pick up much from the turgid H1’11.
But don’t fret, I’ve booked ‘the bounce’ for Q4’11…
quite interesting and thought provoking. congratulations.
Just a thought though. THE RBA possess the best economists in the public service particularly in examining this subject and remember they are aware of rogue CPI figures
as they got caught out with not one but two in the past so do not think they are doing stuff like this and more there.
The RBA very clearly have the labour market as a key input to their CPI forecasts. Read, for example, the paper that Richards and Norman wrote a few years ago where they argue that the unemployment rate is the best single estimate of the output gap that we have.
nice!
November now? You bullhawks are back-pedaling faster than most people can run.
Damage already done by Greece? Are you high? All they do is kick the can down the road. Austerity + strong currency just drives Greece deeper and deeper into recession, further reducing tax receipts.
This ends when Greek debt is restructured and Greece exits the Euro. That’s when you’ll see some damage!
Sure, that would be damaging, but it also seems unlikely just now.
Te damage is clear – issuance of corporate bonds has been unseasonably weak due to uncertainty emanating from Greece. That is mostly going to be growth / spending deferred, but it is going to feel slower in Q3 than it otherwise would, as folks don’t have that cash to spend.
Sent from my iPad
Unlikely?! Its inevitable!
Switzerland has very low unemployment rate, very low interest rates and very low inflation. I think the real cause of inflation in Australia (and other countries) is the significant employed population growth, which is obviously not the same as the unemployment rate. Basically the country is growing in size hence inflation.
I think CPI may well increase even with increasing unemployment.
Since early ’90s debt has had a tendency to transfer from business and government to the private household. The debt taken on by the private household has largely been placed into existing housing. Existing housing was taken out of the CPI so it does not show up in inflation.
Now it seems that private household debt has to an extent saturated. As such I am expecting a shift of take up debt to shift more to business and government.
Banks. ANZ bank man talked recently about bank loan books being 2/3 residential housing and 1/3 business lending. He stated that there was interest in shifting to more lending to the business sector.
The government over this long period have also had a period of paying off debts. There has been a situation where they have not spent much money on infrastructure. Now they seem to have a lot of money planned for capital investment. A lot of infrastructure is in the state of requiring both major plant replacements and capacity increases. Evidenced by huge increases in utility rates, e.g. water/electricity/gas/&c..
My thinking behind CPI increasing is that households take on debt to primarily to spend on existing housing which does not show up in the CPI. Businesses borrow money to spend on investment in plant and other such spending which does show in CPI. The government also will be spending more money (whether borrowed or taxed) on major plant and other items which will show up in CPI. Hence, I believe that CPI will increase regardless of most other factors.
This raises a large concern of mine that even if there is an increase in unemployment there may be the perverse situation where the economy is weak but interest rates may rise.
lucky im in with a respectable crowd of economists:
http://marginalrevolution.com/marginalrevolution/2011/06/how-would-you-title-this-blog-post.html
PIMCO, widely known as talkers of their book, punt EU defaults: http://www.businessspectator.com.au/bs.nsf/Article/UPDATE-1-PIMCO-head-predicts-Greece-others-will-de-J35SY?OpenDocument&src=hp6
Another axis of analysis is Australian monetary regime a la following :
http://www.voxeu.org/index.php?q=node/6356